Contoh Teks Eksposisi Cara Membuat Makanan

Contoh teks eksposisi analisis, contoh teks eksposisi, contoh teks eksposisi banjir, contoh teks eksposisi proses, contoh teks eksposisi laporan, contoh teks eksposisi analisis, contoh teks eksposisi analitis, contoh teks eksposisi singkat, contoh teks eksposisi definisi, contoh teks eksposisi pendidikan, contoh teks eksposisi klasifikasi, contoh teks eksposisi kelas 8, contoh teks eksposisi singkat inggris, contoh teks eksposisi ilustrasi brainly, contoh teks eksposisi bahasa jawa, contoh teks negosiasi, contoh teks passive voice, contoh teks hikayat pendek, contoh teks editorial beserta penjelasannya, contoh teks editorial, contoh teks lho, contoh teks misa, contoh teks humor, contoh teks plan, contoh teks kimia,


17+ Contoh Teks Eksposisi Singkat Dalam Berbagai Kasus via sahabatnesia.com
17+ Contoh Teks Eksposisi Singkat dalam Berbagai Kasus

Kumpulan Contoh Teks Deskripsi Anekdot Cerita Ulang Cerpen via www.slideshare.net
Kumpulan Contoh Teks Deskripsi Anekdot Cerita Ulang Cerpen

[terlengkap] Contoh Teks Prosedur Dan Pembahasannya via luthfan.com
[TERLENGKAP] Contoh Teks Prosedur dan Pembahasannya

Contoh Teks Eksposisi Lingkungan - Kontrak Kerja via kontrakkerja.blogspot.com
Contoh Teks Eksposisi Lingkungan - Kontrak Kerja

Contoh Editorial Dengan Fakta Dan Pendapat - Toast Nuances via toastnuances.blogspot.com
Contoh Editorial Dengan Fakta Dan Pendapat - Toast Nuances

Contoh Teks Eksposisi Lengkap Dengan Strukturnya via pomegranate-pie.blogspot.com
Contoh Teks Eksposisi Lengkap Dengan Strukturnya

Teks Eksposisi (bahasa Indonesia Kelas X Smt 1) via www.slideshare.net
Teks eksposisi (BAHASA INDONESIA KELAS X SMT 1)

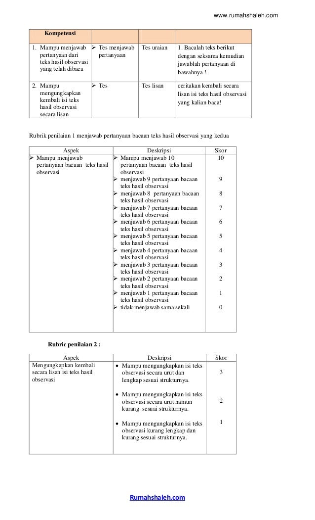
Laporan Hasil Observasi Kelas X - Toast Nuances via toastnuances.blogspot.com
Laporan Hasil Observasi Kelas X - Toast Nuances

Contoh Surat Dinas Tentang Rapat Osis - Simak Gambar Berikut via superfighters.website
Contoh Surat Dinas Tentang Rapat Osis - Simak Gambar Berikut

Contoh Laporan Arus Kas Xls - Contoh O via contoho.blogspot.com
Contoh Laporan Arus Kas Xls - Contoh O

Contoh Teks Prosedur Beserta Gambar Bahasa Indonesia via contohz.blogspot.com
Contoh Teks Prosedur Beserta Gambar Bahasa Indonesia

Contoh Teks Anekdot Remaja - Contoh Bee via contohbee.blogspot.com
Contoh Teks Anekdot Remaja - Contoh Bee

Kumpulan Contoh Cover Proposal - Contoh Cara Membuat Surat via makalahproposal.blogspot.com
Kumpulan Contoh Cover Proposal - contoh cara membuat surat


Random Image



Related Posts To Contoh Teks Eksposisi Cara Membuat Makanan


Contoh Teks Eksposisi Cara Membuat Makanan Rating: 4.5 Posted by: Ludpamo

Search Here

Popular Posts

Total Pageviews

Recent Posts

Partners